ハイブリッド・コードを用いたイオン2流体不安定性の学習
岡光夫、関光浩、高橋慎、武智誠次、梶田信
粒子コース・グループ4b

1.はじめに
ハイブリッド法を用いて2流体不安定性について多角的に学習したのでまとめる。

2.理論
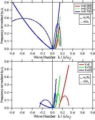
平行伝播の円偏波波動が期待される場合の分散関係について、「プラズマ線形分散ソルバーemdisp」を用いて調べた。
その結果、ビーム成分におけるドリフト速度の増加に伴い、波動の位相速度や群速度が増加し、
不安定解の極値に対応する波数が減少した。また、ビーム成分における密度の増加に伴い、不安定解の極値が増加した。
いずれの結果も、波を励起するフリーエネルギーの大きさによっているものと考えられる。
なお、イオンビームの密度を変化させた場合には、不安定なモードの波数帯に変化は見られなかった。
また、どのパラメータでも波数が正の部分で強い不安定解があったのに対して、負の部分にも不安的解があった。

3.シミュレーション
3.1  波動の励起
分散関係から予測される波動の波長や成長率などをシミュレーション結果と比較した。とくに成長率は磁場エネルギーの
時系列データや1次元FFTから算出して調べた。波数が正の波については概ね成長率は一致したが、波数の負の波については
一致しなかった。また、2次元FFTによりw-k図をシミュレーション結果から得た。準線形段階では1ヶ所で発生した波が
非線形段階で2つの成分に分岐したこと、しかしイオンサイクロトン成分が常に強かったことなどが観測された。
3.2  パラメータ・サーベイ
我々のグループではビーム成分の密度やドリフト速度のみならず、温度も変化させた。
その結果、ビーム成分の温度が大きいほど、不安定成長率が大きかった。
3.2  粒子の運動
粒子の速度空間上での振る舞いについてシミュレーションにより調べた。
その結果、テスト粒子実習で学んだ位相捕捉現象が確認されたが、そのほかに粒子のエネルギー変化が認められた。

4.さいごに
場の時間変化を追うことができるハイブリッド法を用いて2流体不安定性について学んだ。パラメータ依存性や
磁場・粒子の時間変動は、それぞれフリーエネルギーの初期値とその授受で統一的に説明できることが理解できた。
なお、実際のグループ作業では、まず全員で「プラズマ線形分散ソルバーemdisp」の使用方法について確認し、
これに習熟した。実際の数値実験研究においては、不安定性の解析に分散関係の把握は必要不可欠だからである。
その後、各自で作業を分担したが相補的に考察を進めた。

fig1


fig2